爱游戏 爱生活 – 分享游戏资讯,下载OK游戏。

当前位置:首页/文章攻略
  • 如何开通北京一卡通公交码

    在北京出行,使用公交码能带来极大便利。那么,北京一卡通的公交码该如何开通呢?下面为您详细介绍。下载北京一卡通app首先,您需要在手机应用商店搜索“北京一卡通”,下载并安装这款app。该应用功能丰富,除了开通公交码,还能查询一卡通余额、交易记录等信息。注册与登录

    立即阅读2025-11-01 11:04:02

  • 不朽箴言大后期如何搭配阵容

    在游戏的大后期,一套强力的阵容至关重要。以下为大家推荐一套极具潜力的不朽箴言大后期阵容。核心英雄1.宙斯:强大的爆发输出能力是其最大亮点。他的技能能对敌方造成高额伤害,无论是单体还是群体伤害都十分可观。在大后期,装备成型后,一个技能往往就能改变战局。2.斧王:

    立即阅读2025-11-01 11:02:01

  • 爱奇艺极速版怎么关闭自动续费

    在享受爱奇艺极速版带来的精彩视频内容时,有时可能会因误操作或其他原因开通了自动续费功能。若想要关闭,可参考以下方法。一、通过支付平台关闭1.打开常用的支付软件,如微信或支付宝。2.在支付软件中找到“支付管理”或类似选项。3.进入“自动续费”页面,这里会列出你已

    立即阅读2025-11-01 11:00:02

  • 幻想生活i各职业毕业装备是什么

    战士毕业武器可选择高攻大剑,能造成高额物理伤害。防具方面,一套坚固的板甲是必备,大幅提升防御能力。饰品则可配备增加力量和生命值的道具,让战士在战斗中更具生存力与输出能力。魔法师法杖是核心武器,强大的魔法攻击力能瞬间爆发高额伤害。法袍能增强魔法抗性并提供一定属性

    立即阅读2025-11-01 10:58:01

  • 石墨文档没有权限访问如何解决

    在日常工作和学习中,石墨文档是一款非常实用的在线协作工具,能方便地进行文档编辑与共享。然而,当遇到没有权限访问的情况时,确实会让人有些头疼。别着急,下面就为大家介绍几种有效的解决办法。确认权限设置首先要与文档所有者沟通,明确自己在文档权限体系中的定位。也许是所

    立即阅读2025-11-01 10:54:01

  • 王者荣耀如何隐身上线

    在王者荣耀中,有时我们希望能隐身上线,避免被他人知晓。以下为你介绍相关方法。关闭社交状态显示进入游戏主界面后,点击右上角的设置按钮。在设置界面中,找到“基础设置”选项。将“在线状态显示”设置为“隐身”。这样,当你上线时,好友看到的你的状态就是隐身,不会知道你已

    立即阅读2025-11-01 10:53:01

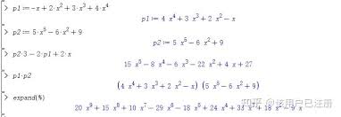
  • Maple如何输入分式

    在数学软件maple中,准确输入分式是进行复杂数学运算和表达的基础。以下为您介绍三种常见的输入分式的方法。一、传统除法形式输入这是一种较为直观的方式。例如,要输入分式$⁄frac{x+1}{x-1}$,可以直接在maple中输入“(x+1)/(x-1)”。这种

    立即阅读2025-11-01 10:49:01

  • 鸣潮小翼龙湮灭技能是什么

    在鸣潮这款游戏中,小翼龙是备受玩家喜爱的伙伴之一,其湮灭技能更是具有独特魅力。技能触发机制小翼龙的湮灭技能触发条件并不复杂。当它在战斗中积累一定能量后,就会准备释放该技能。能量的积累主要通过小翼龙自身参与战斗的各种行动,比如攻击敌人、受到一定程度的伤害等,都能

    立即阅读2025-11-01 10:48:02

  • 前程无忧如何申请工作

    在当今竞争激烈的就业市场中,利用好各类招聘平台是找到理想工作的重要途径。前程无忧作为知名的招聘网站,为求职者提供了丰富的职位资源。那么,如何在前程无忧上申请工作呢?首先,要注册成为前程无忧的用户。打开前程无忧官网,点击页面右上角的“注册”按钮,按照提示填写个人

    立即阅读2025-11-01 10:44:01

  • 空洞骑士丝之歌废鸣管风琴区域怎么到达

    在空洞骑士:丝之歌中,废鸣管风琴区域充满了挑战与神秘,吸引着众多玩家探索。下面就为大家详细介绍到达该区域的方法。前期准备首先,确保你已经在游戏中取得了一定的进展。你需要解锁一些关键能力和道具,比如螳螂爪,它能帮助你攀爬和抓取特定的物体。进入路径从遗忘十字路出发

    立即阅读2025-11-01 10:39:01

  • 黑盒语音如何修改账号密码

    在使用黑盒语音的过程中,保障账号安全至关重要,而修改账号密码就是关键的一环。下面就为大家详细介绍黑盒语音账号密码修改方法。打开黑盒语音应用首先,在您的设备上找到并打开黑盒语音应用程序。确保您已经登录了想要修改密码的账号,若未登录,请先完成登录操作。进入设置选项

    立即阅读2025-11-01 10:35:02

  • 鸣潮不屈命定之冠武器怎么介绍

    在鸣潮这款游戏中,不屈命定之冠武器备受玩家关注。下面将为大家全面介绍这款武器。武器基础属性不屈命定之冠具有独特的基础属性。它的攻击力在同类型武器中处于中等偏上水平,能为玩家提供较为稳定的输出伤害。其攻击速度适中,既不会过快导致操作难以精准把控,也不会过慢而影响

    立即阅读2025-11-01 10:33:02

分页: 6/1667 首页 < 12345678910 下一页 >